华体会(中国)-华体会(中国) 行业资讯 政策法规 产业市场 节能技术 能源信息 宏观环境 会议会展 活动图库 资料下载 焦点专题 智囊团 企业库
宏观环境  节能产业网 >> 宏观环境 >> 商业资讯 >> 正文
慎用加湿器消毒剂PHMG(聚六亚甲基胍),小心消毒变中毒
来源:节能产业网 时间:2020/7/30 16:54:21 用手机浏览

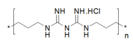
聚六亚甲基胍

聚(亚氨基碳亚氨基亚氨基-1,6-己二基)其他名称

·聚六亚甲基胍(PHMG)是一种胍,用作衍生物杀生物消毒剂,往往在其形式盐聚六亚甲基胍磷酸盐(PHMG-P)。溶液中的PHMG 对革兰氏阳性和革兰氏阴性细菌均具有杀菌和杀菌活性。该物质还具有去污剂,防腐蚀剂和絮凝剂的性能,并防止生物积垢。PHMG-P是白色粉末状固体,和所有聚胍盐一样,易溶于水。

毒性

与相关的聚合物聚己二烯(PHMB)不同,PHMG被描述为一种相对较新的化合物,其性质,效力和作用尚未得到充分认识。初步发现表明,PHMG及其衍生物主要通过抑制细胞脱氢酶的活性来损伤细胞膜。

当PHMG被加湿器雾化和吸入后,它损害了肺部,导致细胞衬的死亡细支气管和广泛的破坏的肺泡,随着闭塞性细支气管炎,非可逆的闭塞性的一种致命的形式的肺疾病,其中细支气管被纤维化(瘢痕组织)和/或炎症压迫和变窄。

使用

PHMG在俄罗斯用于医院消毒,从2001年开始,PHMG 在韩国被广泛用作防止家用加湿器中微生物污染的消毒剂。PHMG是“最初用于清洁加湿器水箱的市场,但被公众用作抑制微生物生长的水添加剂”。

韩国肺部疾病暴发和死亡

PHMG的肺毒性是由于韩国爆发了严重的肺部疾病所致,分别于2006年至2011年的春季儿童和2011年春季的成年人中发现;儿童死亡率为58%,而成年人为53%死亡或需要进行肺移植。尸检和流行病学研究,随后进行动物研究,促使韩国疾病预防控制中心将加湿器中使用的PHMG识别为原因。它在2011年被禁止,并且新案件也不再发生。

Reckitt Benckiser是在韩国销售该产品的公司之一,直到2016年5月,韩国负责人在新闻发布会上向遇难者及其家属表示道歉,并向遇难者致死者的家属赔偿时,它拒绝承担责任。这是该公司第一次承认其含PHMG的产品有害。

·因此,大家在购买消毒产品的时候,不能只关注杀菌功效,更要懂得甄别产品的杀毒原理、性状、毒性等,只有了解了这些才能在消毒的同时保护自己和家人的健康。

·澳碧洁空气消毒剂,一款安全、健康、可靠的室内空气消毒杀菌喷剂:

·国内唯一一款通过第三方检测,可以直接针对空气中常见菌进行杀灭的产品 。只杀有害菌,保留有益菌,消毒时人员无需离场,入口无毒。由中国平安保险公司承保产品。




分享到:
相关文章 iTAG:
没有相关文章
频道推荐
服务中心
微信公众号

CESI
关于本站
版权声明
广告投放
网站帮助
联系我们
网站服务
会员服务
最新项目
资金服务
园区招商
展会合作
节能产业网是以互联网+节能为核心构建的线上线下相结合的一站式节能服务平台。
©2007-2020 CHINA-ESI.COM
鄂ICP备19009381号-2
节能QQ群:39847109
顶部客服微信二维码底部
扫描二维码关注官方公众微信